High Impact Tutoring Built By Math Experts
Personalized standards-aligned one-on-one math tutoring for schools and districts
Here youβll learn how to construct factor trees and write a number as a product of prime numbers, including in exponential form.
Students will first learn about factor trees as part of the number system in middle school.
Factor trees are a way of expressing the factors of a number, specifically the prime factorization of a number.

Each branch in the tree is split into factors. Once the factor at the end of the branch is a prime number (only one pair of factors, the number itself and 1), the branch stops and you circle the number.
Factor trees include whole numbers. However, since 1 is not a prime number it will not appear in any factor tree.
To complete factor trees, it is helpful to remember the prime numbers from 1-20:
2, 3, 5, 7, 11, 13, 17, 19, …
To do this, list the factors of a number until the number has been reduced to just prime factors.
For example, here is the factor tree for the number 24:

You split the original number 24 into two branches with each factor (6 and 4) being written at the end of the branch. Both 6 and 4 are composite, so two more branches were drawn from each showing their factors.
Since the numbers 3 and 2 are prime numbers, the factor tree is complete.
To write 24 as a product of prime numbers, create an equation using the prime factors from the factor tree:
24=2 \times 2 \times 2 \times 3
It is common practice to write the prime factors in order from smallest to largest.
The product can also be written using exponents for repeated prime factors:
24=2^3 \times 3
How does this relate to 6th grade math?
Use this worksheet to check your grade 6 students’ understanding of factor trees. 15 questions with answers to identify areas of strength and support!
DOWNLOAD FREE
Use this worksheet to check your grade 6 students’ understanding of factor trees. 15 questions with answers to identify areas of strength and support!
DOWNLOAD FREEIn order to use a factor tree for prime factorization:
Express the number 120 as a product of prime factors.
Here you write 120 at the top of the tree with two branches below:

2Fill in the branches with a factor pair of the number above.
The number 120 has many factor pairs. Since the number ends in a 0, it is easy to choose 12 Γ 10, so you have:

3Fill in the branches with a factor pair of the number above.
Both the numbers 12 and 10 are composite, so two branches are extended from each number and filled in with their factors:


Here the numbers 3, 5 and 2 are prime numbers and so the branches are complete. However, 4 is composite so you need to continue the branches for 4:

Now each branch ends in a prime number and this factor tree is complete.
4Write the solution as a multiplication equation (and if necessary in exponential form).
Use the numbers from the factor tree to show 120 as a product of prime factors:
120=2 \times 2 \times 2 \times 3 \times 5
Written in exponential form:
120=2^3 \times 3 \times 5
Express the number 88 as a product of prime factors.
Here you write 88 at the top of the tree with two branches below:

The number 88 has many factor pairs. Since it is a multiple of 11, it is easy to choose 8 Γ 11, so you have:

11 is prime and 8 is composite, so two branches are extended from 8 and filled in with its factors:

Here, the number 2 is a prime number, so the branch is complete. However, 4 is composite, so you need to continue the branches for 4:

Now each branch ends in a prime number and this factor tree is complete.
Use the numbers from the factor tree to show 88 as a product of prime factors:
88=2 \times 2 \times 2 \times 11
Written in exponential form:
88=2^3 \times 11
The number 242 can be written in the form 242=a\times{b}^2. What are the values of a and b?




242=2 \times 11 \times 11
Written in exponential form:
242=2 \times 11^2
a=2, \ b=11
Complete the diagram to find the missing product and show it as a product of prime factors.

The number at the top of the tree is the product of the branches below. This means that the number you are expressing is equal to: 5 Γ 20 = 100.
Looking further down the tree, you can see that the number 20 is split into two factors. One of those factors is equal to 5 therefore the other factor must be:
20 Γ· 5 = 4

The only factor pair of 4 that does not include 1 is 2 Γ 2 = 4 therefore the two values in the branches are equal to 2:

100=2 \times 2 \times 5 \times 5
Written in exponential form:
100=2^2 \times 5^2
Given that 72 = 9 Γ 8, write 72 as a product of prime factors in exponential form.

Here, the question has told us to use the factor pair 9 Γ 8.





72=2 \times 2 \times 2 \times 3 \times 3
Written in exponential form:
72=2^3 \times 3^2
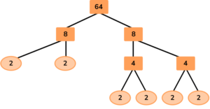
Express the number 64 as a power of 2.



Keep goingβ¦

Nearly there…

One more stepβ¦

Great! You got there!
64=2 \times 2 \times 2 \times 2 \times 2 \times 2
Written in exponential form:
64=2^6
This is an example of relying on the number being even which generates a very long, and time consuming factor tree. This is not incorrect, it just takes a lot of time to get to the solution with the potential to make a simple mistake.
Here are two alternatives to the same factor tree:
Version 1

Version 2


1. Write 140 as a product of its prime factors.




Here is one example of a factor tree for 140. Note that there are other factor trees, but they all end with the same prime factors.

2. Write 330 as a product of its prime factors.




Here is one example of a factor tree for 330. Note that there are other factor trees, but they all end with the same prime factors.

3. Find the values of a, b, and c where
84 = a^{2} \times b \times c




Here is one example of a factor tree for 84. Note that there are other factor trees, but they all end with the same prime factors.

4. Spot the mistake in the following calculation

196 should be split into 2 and 98

14 should be split into 2 and 7

7 should be split into 1 and 7

There is no mistake – the solution is correct

A factor tree shows multiplication factors. Since 14=2\times{7}, \ 14 should be split into 2 and 7. The tree should look like this:

The tree could also be split into 2 and 98, but the question asked for a mistake – not a different way to solve.
5. Write the number 243 as a power of 3.




Here is one example of a factor tree for 243. Note that there are other factor trees, but they all end with the same prime factors.

6. Assume a and b are prime numbers. Expand fully 35a^{2}b to show it as a product of prime numbers.




Here is the factor tree for 35a^{2}b.

Remember: when you write algebraic expressions, you write numbers and then letters in alphabetical order.
No, a factor is a number that divides into another number with no left overs, so they involve only whole numbers.
It can be used to find the greatest common factor (GCF), the least common multiple (LCM) and other numerical properties such as whether the number is square, cube or prime.
A factor tree is complete when all the numbers at the bottom level are prime numbers. A factor tree is a visual representation of the prime factorization of a number, where you continue to break down the number into its prime factors until you reach only prime numbers.
While some calculators may have built-in functions for finding factor trees, not all calculators provide this feature. Basic calculators focus on arithmetic operations and do not include functions for factorization. However, if you have access to a graphing calculator or a scientific calculator, there might be applications available that can help you find factor trees or prime factorizations.
At Third Space Learning, we specialize in helping teachers and school leaders to provide personalized math support for more of their students through high-quality, online one-on-one math tutoring delivered by subject experts.
Each week, our tutors support thousands of students who are at risk of not meeting their grade-level expectations, and help accelerate their progress and boost their confidence.

Find out how we can help your students achieve success with our math tutoring programs.
Prepare for math tests in your state with these 3rd Grade to 8th Grade practice assessments for Common Core and state equivalents.
Get your 6 multiple choice practice tests with detailed answers to support test prep, created by US math teachers for US math teachers!